+91 9030748877
info@gvpbiolifesciences.com
PLOT-16-828/1 4th-Floor, SY NO:829/P,830/P,831/P INDUSTRIAL AREA DULLAPALLY, Hyderabad, Telangana-500014
Home
About Us
Services
Products
Contact Us
Infusion Bags
Product Details
Total API : 0
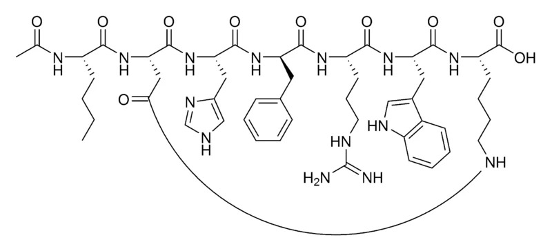
Bremelanotide
Bremelanotide Acetate
CAT No    :  
GVP-BMT00166
CAS No    :  
189691-06-3
Mol.F.       :  
C??H??N??O??
Mol.Wt.    :  
1103.22
Status      :  
Ready Stock
Explore More